-
最小运行体积 :
2.0L
-
有效过滤面积 :
0.1m²
-
工作温度 :
5~40℃
-
工作压力 :
0.1~0.6MPa
-
PH范围 :
2~12
-
总功率 :
4kW
-
物料罐 :
10L(盘管)
-
处理量 :
0.5~10L/h


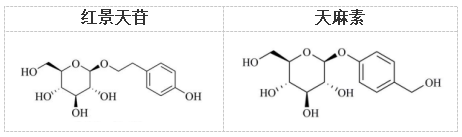
红景天苷是珍贵传统中药材。红景天中的生物活性成分,具有抗缺氧、抗疲劳、抗炎、抗抑郁、抗癌、心脏保护、抗氧化、防晒、抗皱、抗衰等多重功效。
天麻素是中药天麻中的活性成分,具有较好的镇静和安眠作用,对神经衰弱、失眠、头痛症状有缓解作用。临床上用于治疗 椎-基底动脉供血不足、前庭神经元炎和眩晕症。
红景天苷、天麻素结构如图所示:
随着合成生物学的快速发展,红景天苷、天麻素等功能小分子,已经可以在微生物菌体中合成,并且具备发酵产业化能力,使得这些活性物质的获得,不再受限于传统中药材。
引自:Production ofsalidroside in metabolically engineered Escherichia coli
DOI: 10.1038/srep06640

微生物发酵法生产功能性小分子具有快速高效、产品纯度高、成本低等特点。这些功能性小分子的分离纯化,通常历经固液分离、脱宿主细胞蛋白HCP、脱宿主细胞DNA,脱色、脱盐、浓缩、结晶等。常见工艺流程如下:
膜过滤在水溶性功能小分子纯化中的应用:
膜过滤是一种高精度过滤形式,采用错流过滤方式,高速流动的料液在膜面冲刷,减少物料在膜面的堆积效应,避免浓差极化带来的不良影响。
优选膜材质、膜精度和过滤参数,配合膜过滤设备,可显著提高料液质量,保证其他纯化步骤的顺利进行,最终得到高纯产品。
博纳科技专注于物料分离领域,在食品、药品、保健品中间体和原料的膜过滤纯化方面,对于提高收率、降低色度、脱盐降灰分、除内毒素、提高浓度等工艺环节积累了丰富的经验,我们有专业技术团队直接与客户对接工艺、膜元件与设备需求,为客户提供全方位服务。
山东博纳生物科技集团有限公司
电话:0531-88804339
手机:18678828036
地址:山东省济南市高新区粤浦科创中心

技术客服

技术客服